JOINT MEETING of the MIDLAND COUNTIES SECTION and the BIRMINGHAM and DISTRICT SECTION of the INCORPORATED BREWERS’ GUILD, HELD at the MIDLAND HOTEL, NEW STREET, BIRMINGHAM, ON SATURDAY, 27th FEBRUARY, 1943
The following papers were read and discussed:— (Three lectures by three authors)
THE USE OF OATS IN BREWING I.
by Prof. R. H. Hopkins, D.Sc., F.I.C.
General.—Oats resemble barley in that threshing does not remove the husk as it does from wheat and rye. Flaked oats include the husk. Its removal from whole oats is possible, however, groats being an example of the resulting product. In contrast to barley and, indeed, other cereals whole oats are high in crude fibre and oil content, but low in extract producing substances, as the following table shows:—

The ash of oats is relatively rich in silica, which derives from the husk; rather richer than the ash of malt. It must be remembered that haze has occasionally been ascribed to silica. Whilst total nitrogen in oats is of about the same range as in malt, it has already been found that only about one-tenth or less of it is permanently soluble even when mashed with malt. Oats, therefore, act as a diluent of wort nitrogen, and, as we have found, of nitrogen assimilable by yeast. Whether that is an advantage or disadvantage in these days of low gravity beers will depend in part upon the particular problems to be faced in the brewery. The extract yielded could not possibly be higher than about 80 lb. per quarter of 336 Ib. (a bushel of English oats weighs 40 Ib.—per 320 lb. quarter). This assumes whole oats of the highest content of starch and a complete conversion of the latter and other “digestible carbohydrate” into soluble extract by the diastase and other malt enzymes. In practice extract is much lower in flaked oats.
It should be remembered that, when a high proportion of flaked oats is used, e.g., 15 per cent, to replace 10 per cent, of malt, the oats containing some 10 or 12 per cent, of moisture will raise the moisture content of the whole grist by about 1-5 per cent. This will exercise a slight effect, about 1° F. fall, on the initial heat if the liquor heat and other factors are left unaltered from those of an all malt mash.
The oil of oats is dispersed throughout the whole kernel (especially the embryo) and is stated to go rancid on storage of the grain under unsuitable conditions. Adequate analytical data regarding the oil are furnished by Paul (Analyst, 1921, 238) and Amberger and Hill (ibid., 1928, 227). Paul also describes some of its general characters and includes the description of its taste as being acrid and irritating, and adds that a sample stored in a corked vessel for three months became rancid, although the add value had not increased. Without anticipating results to be stated later, it would seem improbable that any appreciable quantity of the oil would get into the wort. It does not do so in the case of ordinary grists. Thus Dryden (this Journ., 1923, 61) inferred from the oil content of the grist and of the grains that none could have got into the wort. This evidence, although indirect, is, nevertheless, convincing, but holds only for normal grists.
A last feature of raw oats which may be mentioned is that the diastase present appears to be of the same type as that of raw barley if slightly more of a liquefying and dextrinising character than the latter. However, the Lintner value is much lower (Baker and Hulton, /. Cketn. Soc, 1929, 1655; this Journ., 1929, 557). If not destroyed in flaking (and destruction is not certain) it may assist slightly in the conversion of the oat starch.
An outstanding feature of flaked oats is the unevenness, it consisting of coarse crushed grains and of flour. The latter soon passes as through a sieve through the bed of grains and collects at the bottom of the sample so that a bag of oats which has been conveyed any distance needs thorough re-mixing and careful sampling.
Certain observations have been made by the Institute Staff and the writer at the Brewing School, and from some of them definite and from others tentative conclusions may be drawn.
Oil.—This has been determined in the components of grists containing up to 20 per cent, of flaked oats by extraction for 6 hours with petroleum ether. The spent grains after mashing these grists with the usual mashing liquor (this Journ., 1938, 73) were dried and similarly extracted. The oil contents of the grains corresponded closely with those of the grists. The impossibility of obtaining uniform samples without very fine grinding is sufficient explanation of such differences as were found. The wort drawn from the mash, including spargings, in each case amounted to about 4-5 litres of specific gravity about 1040. These worts were thoroughly extracted with ethyl ether and the percentage of oil so determined was from 0·001 to 0·004 per cent, in the various cases. The results are summarised in the table as below—(The oats contained 3·6 per cent. of oil.
Extract.—The extracts obtained in various analyses of the same sample of flaked oats differ, owing to unevenness of samples, by as much as they do through differences in analytical methods. In order to find out how closely the results yielded by various methods of determination of extract approach the maximum obtainable, the following procedure was adopted using two samples of flaked oats, one an indifferent one, the other a good one.
A large enough quantity, about half a kilo, to represent a fair sample of the whole was ground very finely in the “Wiley” mill, the powder thoroughly mixed and all analyses performed on samples withdrawn from this. Extract was determined,
(a) by the method recommended for flaked grain (this Journ., 1933, 524),
(b) by the method recommended for raw grain (ibid.),
(c) by mashing with malt (D.P. 35°) in the proportions of 90 parts of malt to 15 parts of oats for two hours at 160° F. (This was designed to indicate how much extract should be derived in the brewery. The mashing rate approximated to 2·25 barrels per quarter.)

Instead of making the various mashes up to 506 or 515 c.c, they were all made to 550 gms., and calculation took full account of this and of moisture in the grist, etc. The calculation is a little complicated and is not recommended as a routine. The volumes of grains from 50 gms. of flaked oats were, respectively, 16 and 13 c.c. approximately in the two samples. Probably analysts should adopt 515 c.c. as in malt analysis. The results are shown in the following table:—

The raw grain method, which involves boiling of the oats before mashing with cold water malt extract, gave the best results. That very little extract was left unconverted by this method was shown by washing the grains quickly twice with 500 c.c. of water at 150° F. and submitting them afresh to the same full process of analysis. Allowance was made for wort not fully washed out before the second boiling and “converson” were performed. (The washed grains were weighed and deduction of known dry residue gave the volume of adherent wort whose gravity was taken from the second washings.) Analyses of other samples have given 2 lb. per quarter more extract by method (b) than by (a).
As may be expected, method (c) is subject to a considerable experimental error—but the results are indicative that under mashing conditions less extract than the full will be secured from such samples of flakes as those under investigation. For reasons given above the extracts yielded in the experimental brewery are not very informative, since the flakes used were (for technical reasons) ground no more finely than the malt, and probably uniform samples were not secured. The objects of these brewings necessitated the use of a reasonably coarse grist.
By process (a) sample 2 (less finely ground than above) gave 61·3 lb./qtr., whilst “Scott’s porridge oats” gave 89·0 lb. and fine oatmeal 93 Ib. per 336 Ib.
Brewings in the Experimental Brewery.— Oat flakes were mixed with the malt in the proportions desired and the mixture ground to a suitable degree of fineness (Seck 35). Mashing at the rate of 2¼ barrels per quarter for 2 hours and sparging for a fixed time, the volumes and gravities of the worts drawn off by the end of that time were taken. Then a further period of sparging would follow with similar readings on the wort drawn. From such experiments it was concluded that the presence of flaked oats up to 20 per cent, of the grist had only a slight and favourable effect on the filtration. If, however, the grist was more finely ground, thus encouraging a poor and slow filtration, the presence of oats was a decided advantage.
Boilings and fermentations showed no abnormalities. Yeast yields declined very slightly with increasing oats. In the latter case also the attenuation limit fell slightly, i.e., the worts showed greater fermentability. These results were fully borne out by analyses of the wort for fermentable sugars, and for rate of yeast growth and fermentation in laboratory experiments.
Soluble Nitrogen in Worts.—Dilution is effected by the floked we oats have used, thus our mashes yielded as follows:—
Per cent, oats in grist .. .. 0 6 10 20
Per cent. N on wort solids .. 0·884 0·880 0·870 0·834
There is also some evidence of slight fall in assimilable nitrogen.
Taste of Beer.—The prevailing opinion was that oats introduced a slight difference in flavour which was variously described as “more bitter,” “softer,” “drier.” The latter two descriptions arose from tastings of beers which had been in bottle for 10-12 days and the first from beer only two days in bottle. Certainly the oat containing beers (10 per cent.) could be distinguished, but the difference from controls was not great.
THE USE OF OATS IN BREWING II.
by L. C. Thompson
Until three weeks ago the writer had never used oats in any other form than malted oats. He was, therefore, starting from scratch, as they all were, but he wished to emphasise the importance of complying with the wishes of the Food Controller, who had said to the brewing trade as a whole, “I want some of your barley.” He might easily have left the brewing trade short of barley, but, instead, he had offered another material for brewing, namely, oats. It was quite clear that at its highest it was their patriotic duty to fall in with the wishes of the Food Controller, and at the lowest it was in their own self-interest to make use of the material.
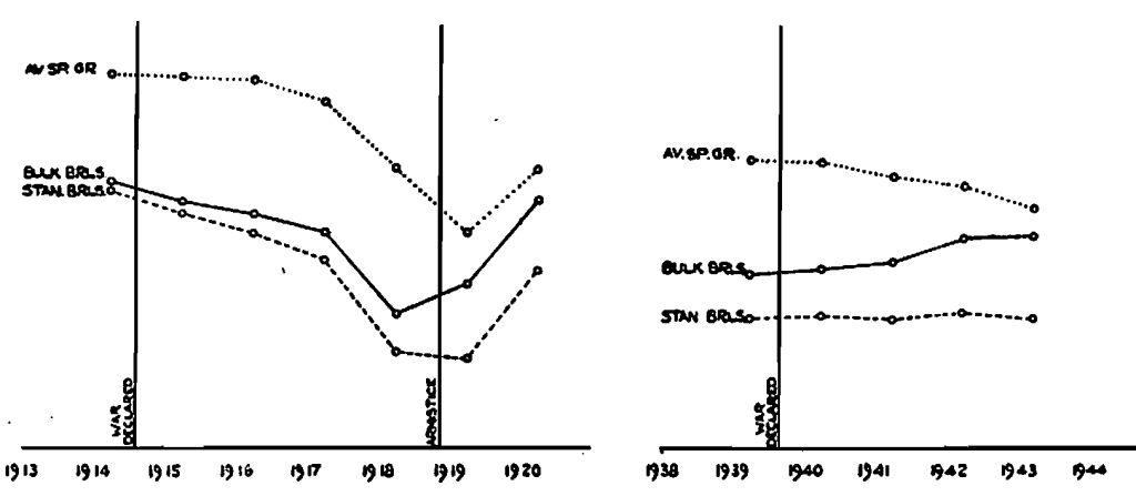
He would like to draw a graph showing the position of the trade to-day. When he said “to-day,” he was anticipating the figures which would come into being by the end of the financial year, namely, 31st March, 1943. It would be seen that the average specific gravity was in the neighbourhood of 34°—that was an estimate—that the bulk barrelage was in the neighbourhood of 30 millions and the standard barrelage about 19 millions. That was at the end of three-and a-half years of war. In the last war it would be seen that the average gravity then was in the neighbourhood of 40°, the bulk barrelage 20 millions, compared with 30 millions, and the standard barrelage in the neighbourhood of 14 millions, as against 19 millions. The Food Controller was most concerned with the standard barrelage—the material from which they brewed their beer—and when they remembered the comparative danger in which the country stood, and especially the terrible shipping position, for the Food Controller to say that he was taking some barley away from them but giving them in exchange a corresponding quantity of oats, he thought it was an extraordinarily generous offer, and he impressed upon everyone that it was essential that they should fall in with the Food Controller’s wishes.

Up to the present time he had mashed 66 gyles containing flaked oats, five at 15 per cent., six at 12 per cent., twenty-four at 10 per cent., twenty-nine at 6 per cent., and two at 3 per cent. He was cautious over his bottled ales, and at the present he was running alternate gyles at 5 and 10 per cent. of oats but he was not at all nervous of the results. In all the brews flaked oats had taken the place of flaked barley. The husks were apt to fluff up and choke, but there had been no great difficulty. With 15 per cent., however, there was a real difficulty, but he had overcome it. He believed there were brewers who had not yet used any flaked oats, but it was quite clear that they would have to do so. In making the comparisons, he explained that in his own particular brewery they had never previously used flaked maize, so that the use of flaked material was entirely new to them. They had worked up to something like 9 per cent, of the total mashing of flaked barley, and the comparisons were really a case of substituting flaked oats for flaked barley. A little difficulty had been experienced in using a high percentage of flakes because the grist cases were not able to contain the extra volume which the use of flakes involved, but it was easily overcome. Mashing was normal, no change being made in mashing temperatures. As to the grains, flaked oats appeared to pack tighter, and therefore gave rather short measure. Many of those present probably dried their grains and had no occasion to argue with grains merchants. In his own case they had had some argument with grains merchants who took their grains away and said they appeared to be rather, short. This had also been got over and the grains merchants were now satisfied that they were receiving their full weight. With regard to extract, the yield, appeared to be up to the laboratory figure, with erratic exceptions. Occasionally thin corns showed no modification at all. He thought this was a matter for the flakers to surmount. If they used very small, thin and poor samples of oats he was afraid brewers must expect to get some corns coming through which had not yielded their extract. Fermentations were normal. No change was made in the fermenting temperatures, either pitching or during the fermenting of the wort. Yeast crops were just below normal. The figures had been contradictory. If he were pressed he should be forced to say “normal,” but he preferred to say “just below normal.” Attenuations were quite normal. The final attenuation had been consistently low. Finings in the ales brewed were normal. With reference to palate, several gyles of XX and one gyle of pale ale were considered to be just below the usual fulness, but many of the gyles of XX had been sold in the trade without comment. With the draught and bottled stout he had detected no difference in palate. At the moment there had been no drop in the normal standard of the keeping qualities of the forced beers.
Discussion
Mr. W. Scott said there was a natural reluctance to say much about the use of oats until they had had more experience. There was no doubt, as Mr. Thompson had emphasised, that oats would have to be used. Lord Woolton treated the brewing trade as a willing trade, and was therefore making no order at the present time. He did not disguise the fact, however, that if the whole trade did not substitute 10 per cent, of the barley which they had been using, either as barley or flaked material, by oats he would make an Order in the future. It was therefore up to them to keep their reputation as a willing trade. He thought they stood very high in the estimation of Government Departments because what they undertook to do they endeavoured to do, and generally carried it out. There were some instances where, owing to the lower extract yielded by oats as compared with barley, it was impossible for brewers to use the full percentage required without reducing their output. It was hoped that others in a position to do so would use more than the prescribed quantity so that, taking the trade as a whole, the saving of 10 per cent, of barley asked for by the Ministry would be realised. So far as his brewery was concerned, he agreed with Mr. Thompson that up to the present, when using oats, the beers were normal. He mentioned that they were trying to use a larger quantity of oats by grinding them, instead of having them flaked. He thought, however, that if oats were used in a ground form it might be preferable that they be predigestcd before being added to the mash tun, but this might not be necessary. The quality of flakes last year was so poor that they could not base reliable conclusions on experiments done with them.
Mr. B. V. Seed said it would be of interest if Mr. B. M. Brown could enlighten them as to the effect of a series of brews, with the maximum proportion of oats—say 10 per cent.—on the general health of the yeast. What was going to happen to the yeast after several months, taking into consideration the extremely low gravities now obtaining? As to oil in the oats, he was under the impression that if it came through, the real danger was lack of head retention. He had been told by a manufacturer that more satisfactory flaked oats could be obtained if the cooking period was approximately four times as long as in the case of flaked barley.
Mr. B. M. Brown said it was too early to say very much about the eventual effect on the yeast of using oats in the mash tun. So far as their own fermentations had gone, there was no evidence of any falling off in fermentative power, and he did not anticipate any serious trouble as a result of using a reasonable proportion of oats. Samples of flaked oats varied considerably, and he hoped the manufacturers would help the brewers by seeing that they were more constant. Up to the present deliveries had been received in which the moisture varied between 7 and 14 per cent. No one wanted to work with materials like that. If the manufacturers could get the moisture below 10 per cent, he thought they might reasonably be asked to do so. In that connection the point arose of deterioration on storage, as there would probably be an interval between manufacture and use; with slack material they might get mould growth. On the question of the oil content he thought they were unduly frightened. It must be remembered that they had always had oil in their materials; using 20 per cent. of oats the percentage increase in oil would only be in the first decimal place. He had examined worts and beers and he found that the oil did not appear to go through to the worts. As to head retention, he had discovered no departure at all from the normal. He thought there was room to use a great deal of ungelatiniscd material. Mr. Scott was of opinion that they should pre-digest if they used what might be called raw starch. He (Mr. Brown) was not sure, however, that a mash containing a large proportion of malt could not deal with quite a lot of starch without pre-gelatinisation. There was a little gelatinisation in flaked oats, but it was not enough to disrupt completely the starch granules. He had used a certain amount of ground barley without difficulty; in the laboratory experiments had been carried out with up to 50 per cent, oat flakes without pre-gelatinisation, and there seemed to be no difficulty in obtaining the complete extract. The final test, of course, was flavour, and that was a matter for the public to decide, whom he did not think would be too critical in these days.
Mr. T. E. Grant said that they realised the very difficult shipping position, and that it was incumbent upon them to do all they could to relieve that position. At the same time they must be very careful that customers remained satisfied with the product. As to the use of oats, so far as his experiments disclosed to date, he did not think that customers were going to be dissatisfied where a reasonable proportion was included. His own oat brews, as in Mr. Thompson’s case, showed a slight decline in quality from malt brews. On the other hand, yeast crops and head-carrying capacity seemed normal. But, it should be remembered, they were still in very early days, and it was necessary that the Government should see that the flakers of oats were provided with good quality material. He had heard that some chemists had stated that the starch of oats was not so amenable to mash tun enzymes as barley starch.
Mr. B. Wood said that, according to his present limited experience, the quantity used had had no deleterious effect, but an opinion as to its effect on the yeast could not be given until flaked oats had been used for some considerable time. He had never used flakes until it became necessary to use flaked barley, and then there was grave difficulty, as he had no means of introducing the flakes to the grist case. They could not buy plant, and the difficulty was got over by masking the fine part of the screens in the mills and judiciously tipping the flakes in with the malt. The results had been quite satisfactory.
Mr. H. Heron, referring to extract, said that the general range was between 50 and 60, and the average about 55 lb. Some of the variation was due to the moisture content of the flaked oats, and samples he had examined varied from 10 to 15 per cent. With regard to nitrogen, tests he had carried out indicated that very little, if any, nitrogen in oats was rendered soluble in the mash tun, certainly not more than a tenth of the total amount. They could, therefore, look upon oats as being a definite diluent of the nitrogen in the wort, and where very low nitrogen malts were used it was likely to have a deleterious effect. Some difficulty was likely to be experienced in sampling, and this assumed considerable importance when an analysis was required; every effort should be made, therefore, to obtain a representative sample from the sack. As the material contained considerable husk and a proportion of finely divided material it would be advisable, when taking a sample, to empty the sack right out and thoroughly mix the contents. With regard to the oil he had made a number of tests to determine whether any came through into the wort, but he had not been able to detect any trace in the samples of wort he had examined. He thought it probable that oat starch was more difficult to convert than barley starch, but it was quite probable that the greater proportion of the starch was gelatinised or partly gelatinised in the flaking process. He was interested to hear that the manufacturers found it necessary to cook the oats more efficiently than was the case with barley before flaking, as this seemed to suggest that the starch needed more gelatinising, or that as the nitrogen content of the oats was higher, it was more difficult to soften the network of cellulosic material that enclosed the starch cells to render them available to diastatic action. He had had an opportunity of tasting a number of beers brewed with oats in different breweries, and he was not able to detect any noticeable difference in any of them.
Mr. E. Rogers said that the additional husk with oats gave better drainage in the mash tun than with flaked barley and seemed to replace a factor that they had lost, namely, the husk of the Californian barley to which they always looked for drainage. The one snag was that to arrive at the aggregate amount of extract they had to use so much more, in bulk, of oats and, of course, if they had to get the percentage of extract it was necessary to pre-digest. Having pre-digested, they ran the risk of interfering with the drainage in the mash tun. He bad used up to 11 per cent, of oats and had got through with it. He had had excellent drainage and conversion, and he was rather puzzled by the question as to the amenability of the oat starch, because when he used 12 per cent, of oats he obtained an excellent extract. It seemed to him that oats in the mash tun would give better results in conversion and drainage than some of them might have anticipated. He had found both flaked bailey and oats to be hygroscopic, and suppliers should take every care to avoid materials getting in contact with moisture during transit.
Mr. A. C. Norman Smith, referring to Mr. Grant’s plea that the flakers of oats should be provided with good material, said he understood that merchants must offer all their oats to the Ministry, who took the best oats for milling, leaving the flaker to contend with the brewers’ requirements. Obviously, there were only weathered and thin oats left, and the merchant could not sell those oats unless he had a permit from the Ministry to do so. He would like to know whether there was any prejudice against the use of black winter oats for brewing which the miller did not use.
Mr. E. B. Davenport said he understood that malted oats were considered better value for brewing than flaked oats. If brewers were obliged to replace 10 per cent, of their malt with flaked oats, could not the maltsters help the trade by malting some of the oats.
Dr. L. R. Bishop said that in a series of mashes with 0, 5, 10 and 20 per cent, of flaked oats, the total nitrogen in the wort fell as the proportion of oats was increased, and this appeared to be due mainly to a decrease in assimilable nitrogen. It might have been expected that the oat starch would be less convertible in the mash tun than, say, the starch of malt, but preliminary experiments showed that the addition of up to 20 per cent, of flaked oats increased somewhat the proportion of maltose and the fcrmentability of the wort. As drainage was facilitated and wort nitrogen reduced by oats, in these respects the behaviour was similar to that of Californian malt.
Prof. R. H. Hopkins said that the oil remained in the spent grains and contributed greatly to the nutritive value of the latter. From what was known of the properties of the oil of oats, there was no reason to suppose that it would injure mashing or grains disposal plant.
Microscopic examination of the starch in two specimens of flaked oats suggested that if there was gelatinisation it was only very slight. But raw oats and one flaked specimen he had examined contained traces of diastase which was of a type that would be able to erode starch granules as well as saccharify paste. He suggested that if the oats had been heated enough to destroy the diastase during flaking they would also have been heated enough to gelatinise the granules somewhat, and then the latter would be reasonably susceptible. Conversely, if the oats were not heated enough to gelatinise the granules, the heat would not have destroyed the diastase. He would bear Mr. Grant’s question on the susceptibility of oat starch in mind and try to obtain an answer as soon as possible, because it might account in part for the defective extracts yielded by oats.
THE USE OF OATS IN BREWING III.
by F. E. B. Moritz
If the present output of beer is to be maintained in the immediate future the use of a certain proportion of oats in brewing will be necessary. Without the use of oats the output could only be maintained by a further reduction in gravities, and he should consider that from the technical aspect such reduction would be objectionable. Recent experiences had shown him that there is a definite limit of reduction in gravities below which many brewing difficulties would arise, and that limit practically had been reached. The position, therefore, is that the use of oats is not so much as to whether they should or should not be used, but rather how best they can be used.
Un-malted oats would not normally be used for brewing and, therefore, the knowledge of their brewing value as such is meagre and must be augmented by laboratory tests and experimental brews as soon as possible. Such tests as he had so far carried out had been on samples of flaked oats and he had not dealt as yet with the possibility of the use of finely ground raw oats.
Flaked oats should be looked upon much in the same way as flaked maize and rice and (latterly) flaked barley, in that it is an inert extract-yielding material, inert in the sense that it is incapable of bringing about its own complete starch conversion. On that account the amount of flaked oats used in the grist is strictly limited, and, furthermore, it is essential to use it in conjunction with good quality malt.
He was not fully conversant with the details of the present manufacture of flaked oats, but he assumed that the process is very similar to that used for the production of flaked maize, with the exception, of course, that the oats are not de-germed. The process, therefore, would entail heating in order to rupture the starch cell walls and thus liberate the starch for subsequent conversion. Microscopical examinations of recent samples have shown a good rupturing effect.
The flaking process has not resulted in giving such good flakes as obtained from maize or barley, and that is probably due to the high degree of huskiness of oats. Any disadvantage, however, incurred by this rather inferior flaking should be largely offset by the benefit derived from the husks—in regard to mash-tun nitration. In the past oat husks have been used in the mash-tun for that benefit alone.
The following are the analytical figures as determined by the standardised form of flaked maize analysis so far obtained from a number of flaked oat samples and compared with flaked barley and flaked maize figures as follows:

Moisture.—If flaked oats contain moisture even up to 14 per cent, at the time of use, the moisture as such should not have any serious ill-effect on the brewing process, but it is very questionable whether flaked oats with such a moisture content would keep for any great length of time without incurring the risk of mould growth, which growth in turn would affect the flavour of the beer made from a grist containing them. Mould will develop on cracked or broken malt corns, whereas no such development occurs when the protecting husk remains intact. In the case of flaked oats the protecting husk is completely broken up in the flaking process.
He had employed a simple test in order to gain some information as regards the development of mould in relation to the moisture content of flaked oats, and there does seem to be some evidence to show that if the moisture content exceeds 13 per cent, there is a risk of mould developing in a comparatively short time. To give one example: A sample of flaked oats containing 14·6 per cent. moisture developed a marked mouldy smell after 17 days’ storage at 80° F. The same sample gave a faint but perceptible mould smell when kept at room temperature for 6 weeks. It would seem, therefore, that the storage temperature of 80° F. does anticipate the results obtained from room temperature storage. Another sample of flaked oats containing 15·4 per cent, moisture gave a strong mould smell after 5 days at 80° F., and visible mould growth was actually observed a few days later.
It is interesting to note, however, that of several samples examined showing a moisture content of 13 per cent, and below, no mould smell was noticed after about 20 days at 80° F.
Some flaked oats which originally contained 15·4 per cent, moisture and gave a mouldy smell after 5 days at 80° F. was divided into several portions, the moistures of which were reduced to 12, 10 and 9 per cent., respectively. The samples were kept at 80° F. for 10 days and then examined. The un-dried sample gave a mould smell as originally, but no mould smell was noticed on the other samples.
Oil.—He had found that the average oil content of flaked oats was 3·5 per cent., calculated on sample. Malt, de-germed flaked maize and flaked barley all have an oil content of 1-2 per cent., and sometimes less.
The question of oil content in flaked oats might conveniently be dealt with under two separate headings:—
(1) The effect on the keeping property, and
(2) The effect on the brew and subsequent beer.
(1) The presence of oil and the fact that it is unprotected by husk and therefore exposed to the atmosphere would suggest that the oil might in time be the cause of rancidity or that it might be attacked by bacteria and so give rise to an objectionable odour and taste. A test similar to that for detecting the presence of mould due to the moisture content was employed, but not very conclusive results were obtained by the smell test. It was, however, noticed that when the mould smell was present the oily smell of the oats either due directly to the oil content or to some slight oxidation of the oil, or to bacterial attack on the oil, tended to diminish, whereas when there was no mould smell at all the oily smell was rather more marked than otherwise.
Of the various samples submitted to the forcing smell test it was noticed that when the oil materially exceeded 4 per cent, there was an absence of mould smell, but a distinct tendency towards marked “cheesiness.” Although the evidence so far secured is not conclusive, it points to the inadvisability of vising oats for flaking that contain oil in excess of 4 per cent, (calculated on sample). Even provided the oil content of the flaked oats is below that figure protracted storage should be avoided.
(2) The actual oil content of a grist made up with malt of 1 per cent, oil content and with flaked oats of 4 per cent, oil content, flaked oats being used at the rate of 10 per cent, by bulk of the total grist would amount to 1·3 per cent., an increase of only 0·3 per cent. Such an increase might be considered to be within the limits of variation of the malt oil alone.
Does the oil content of a grist pass through the mash with the wort, even supposing that the oil content of a grist is rather higher than normal? Laboratory mashes show no difference as regards the oil content of an all-malt mash and a malt plus 10 per cent, (by bulk) of flaked oats mash. These laboratory mashes were conducted as closely as possible to a brewery mash, using the grains as a filtering medium. In view of the results obtained he did not consider it necessary to carry out the oil determinations on samples of wort or beer taken at later stages of the brewing process. It is of interest to note that, so far, brewery samples of wort taken after mashing a 6 per cent, (by extract) flaked oats grist showed a negligible oil content.
Judging from tests so far carried out no oil or determinable amount of oil passes through the mash, nevertheless it was thought advisable to ascertain whether the flaked oats, owing to their oil content, might have become so infected that subsequent infection might develop in the brew even after the copper boil. Furthermore, could the infection be such, and of a kind, that would not be present in malt, but might be present in the flaked oats, and would that infection survive the copper boil?
SERIES OF TESTS TO DETERMINE WHETHER BACTERIAL INFECTION INHERENT TO RAW OATS WOULD SURVIVE THE COPPER BOIL AND THEREFORE INFECT THE WORT
Series l. — Grist: 90 per cent, malt, 10 per cent, flaked oats by weight; mashed for the usual period and then boiled (with no copper hops) without filtration for ½ hour and 1½ hours, respectively. Cooled under sterile conditions and then forced at 80° F. Heavy bacterial infection developed within 3 days in the sample boiled for ½ hour and slight infection in 4 days in the 1½ hour boiled sample.
The worts from the all malt grists treated in the same way and subjected to the same boiling periods did not show bacterial infection after 17 days.
Series 2.—Series 1 was repeated with the following alterations: The worts in each case were hopped at the rate of ¾ lb. hops per barrel. The shorter boiling period was raised to 1 hour, the longer boiling period remaining at 1½ hours. Two different flaked oat samples were used; there was also included a wort made from a grist consisting of 10 per cent, flaked barley and 90 per cent. malt, as well as one from an all malt grist. The following results were obtained: After a cultivational period of 4 days none of the worts showed apparent infection. After 10 days a microscopical examination of each cultivation showed no infection in the case of the hopped samples whether the boiling period was 1 hour or 1½ hours.
A control series boiled for 1 hour without hops showed bacterial infection in the case of one oat sample and goes to confirm the result obtained under Series 1.
In view of the fuel economy movement now in active practice the results obtained do indicate that there is a definite minimum boiling period necessary to effect sterilization when flaked oats are used. Also these results emphasise the importance of the copper hop rate and its effect as regards helping to sterilise the wort in copper.
Extract.—The extract figures obtained from the samples examined are low when compared to extract figures obtained from malt or malt adjuncts and are to be expected, when the relatively high proportion of husk to starch content is taken into consideration. Low extract figures, however, do not necessarily detract from the technical brewing value of the material in the sense that such low extracts do not affect the quality of the brew. As regards the accuracy of these figures, they may be open to criticism on account of the difficulty of obtaining a truly representative sample—one sample may contain a higher proportion of husk than another sample and so affect the determination and the result.
As in the case of the standard form of flaked maize analysis cold malt extract was used in the place of malt to obtain comparable results.
Permanently Soluble Nitrogen.—The figures obtained show very little variance, and on an average the flaked oats give a figure similar to that yielded by flaked barley and lower than that yielded by the average, malt sample. The P.S.N. figures from the table already quoted show flaked oats, 0-13 per cent.; flaked barley, 0·17 per cent.; whereas malt yields 0·5 per cent. Bearing in mind again that it is not intended to use flaked oats in excess of 10 per cent, (by extract) of the total grist, the reduction in P.S.N. attributable to the use of flaked oats could only be very small. It is, however, conceivable that in the case of a very low gravity wort, that wort would have such a low assimilable nitrogen content that any further reduction might result in a serious deficiency.
At the time that flaked barley was introduced many brewers thought that their fermentations and yeast strain suffered, and in some cases may have attributed this to the slight difference in the amount of assimilable nitrogen present in their wort. It was unfortunate that at the time flaked barley was introduced the quality of the malt was on the whole bad, due to an exceptionally bad barley crop; furthermore, at that time gravities were still being reduced, as were also hop rates, and so far as the stability of the beers was concerned another aggravating factor was present (and still is present), and that was the question of labour for cleaning. Therefore it may be that the blame that was laid on the use of flaked barley was not perhaps wholly justified.
Starch in Grains.—No starch was found in the grains after mashing in the case of flaked oats, whereas with the other malt adjuncts traces have been noticed. This indicates, provided the flaked oats are mashed with good malt, good conversion is obtainable.
Colour.—The colour of the flaked oats themselves is 3-3½ ° Lovibond (10 per cent. extract 1 in. cell).
Conclusions
(1) That flaked oats can only be used as a small proportion of the grist; it is probable that 10 per cent, by extract would be the limit.
(2) Good malt should always be used in conjunction with flaked oats whatever the proportion of flaked oats to the total grist may be.
(3) That the moisture content of flaked oats should not materially exceed 12 per cent. at the time storage commences. This figure allows for a margin of safety.
(4) That the oil percentage should not exceed 4 per cent.; the lower the oil percentage the better.
(5) That the storage period after flaking and before actual use should be as short as possible.
(6) That it is probable that oats will keep longer uncrushed with the husk intact than flaked oats, therefore it would be advisable to delay the flaking process as long as possible.
(7) That the copper boil period should not be reduced to under one hour with a flaked oat brew.
(8) That with very low gravity worts the fermentations should be watched very carefully for any adverse effects due to the inclusion of flaked oats and due to that inclusion alone.
Discussion
The President (Mr. G. T. Cook) said that he wished to emphasise that brewers had to use oats as a matter of necessity and urgency in the national interest and it was up to them to make the best possible use of that material. He endorsed all that Mr. Thompson had said. He had used flaked oats in quite a number of brewings, had watched the brewing process throughout, and tasted the beers, and it was difficult to detect any difference whatever in the beers when compared with ordinary brewings. Possibly there was, a tendency to slighter softness, but it was questionable, for when the beers were tasted blindfold it was not possible to pick them out with any certainty. The matter of moisture raised by Mr. Moritz was very important. Flaked oats should be used as quickly as possible after manufacture and should be stored in a dry, but not too warm, place. It would be of interest to know the nature of the diastase in oats. Was it similar in character to that present in barley?
Mr. A. J. C. Cosbie said that the diastatic power (Lintner) of flaked oats varied, but was usually about 1·5°.
Prof. It. H. Hopkins said the samples that he had tested showed no diastatic power.
Mr. J. L. Baker said some years ago the late Mr. H. F. E. Hulton and himself (J. Chem. Soc. 1029, 1655) had worked on the diastase of oats and had shown that it behaved very much like that of barley diastase but was more active in that it carried the hydrolysis of starch to maltose. The diastase of germinated oats behaved very similarly to malted barley diastase, but from what he gathered of the flaking process he should think it unlikely that the flaked material had any diastase left in it. He thought the resiliency of the brewing industry was remarkable in that they reached their present state of knowledge concerning the use of oats in a matter of only a few weeks. He had examined some 20 samples and found the extracts varied from 54 to 64 lb. per 336 lb., with a mean of about 60 lb. The moistures varied considerably from 6·5 to 10·6 per cent., and he thought no delivery ought to be accepted with a moisture exceeding 13 per cent. The total nitrogen was about 1·5 per cent, and permanently soluble nitrogen 0·16 per cent. The oil content varied from 2·8 to 5·4 per cent., but he did not think the amount mattered very much, as it was all retained in the grains. Oats with an oil content of 5·5 per cent, produced a wort containing only 0·01 per cent.
Mr. W. J. Watkins said he was one of those brewers who worked with a full mash tun, and with the extra bulk involved with flaked oats he would have to devise some means of introducing them. This might entail a separate digestion, possibly in a modified form of converter, and then introduce the contents to the masb tun in the form of sparges. If a separate digestion vessel was used it would enable brewers to use groats as well as rolled oats because the passage of groats through the mills would, he thought, detract from the drainage capacity of the ordinary infusion mashes. So far he had not yet got beyond the introduction of 4 per cent, of flaked oats with 10 per cent, of flaked barley. With laboratory mashes at brewery concentrations a marked difference in the flavor of the worts was found with 20 per cent, of oats, and he would not like to use so high a percentage as that, except possibly, in the stouts. There were difficulties in always obtaining the same amounts of extract per quarter owing to the separation of the starch from the husk of the grain, and that might be an objection to storing the flaked oats in sealed malt bins. He hoped the flakers would take every precaution to use good oats, as there were great differences in the various varieties.
Mr. L. R. Skinner said that it would be of interest to know if the high percentage of fibre in oats would have ultimately any effect in producing a deleterious flavour in beer and whether waters high in carbonate would aggravate that effect.
Mr. L. C. Thompson said that the high percentage of husk in oats benefited drainage in the mash tun. As to any deleterious flavour from the effect of the mashing liquor on the husk, that would appear ultimately in the beer, and in his experience that was norrnal.
Mr. A. R. Buchanan said the flaking process depended upon the plant that was in existence in the different mills, the temperature employed was about 200″ F. With regard to the effect of liquor on the husk it might possibly result in an additional amount of silica and phosphate being dissolved. The oats used for flaking were the best that the Ministry of Food would allow them to purchase.
Mr. W. H. Watkins suggested that flakers should wash oats before flaking and do everything that they could to decrease the mould content of the flakes.
Mr. C. W. McHugo said that the fact that the starch of the oats separated so readily from the husk meant that during the modification treatment in the rollers the starch was more evenly gelatinised, and he thought that had an important bearing on the extract and the ease with which the oats were amenable to mashing. He had found that more than 90 per cent, of the possible extract was obtained under ordinary mashing conditions. He had examined a number of flaked oats and he believed that most manufacturers were aware of the importance of the moisture. The average moisture he found was 10-11 per cent. He thought they should be cautious in the matter of oil as he had noticed in experimental mashes with flaked oats that the nitration was slow and the filtrate a little hazy, and it was possible that a trace of oil might well be responsible for such haze. Oats when flaked were a better brewing material than raw oats, however finely ground, for during the flaking process the starch underwent some modification.
Mr. H. Heron said that he knew of some brewers who worked with a full mash tun and were then asked to use flaked barley. To economise space, finely ground raw barley was used and the same extract obtained as from the flaked barley, and they were now making experiments with finely ground oats with the hope that they will get the same extract as with flaked oats. He did not think that flaked oats containing 10 per cent, of moisture would increase its moisture content materially when stored.
Mr. E. J. Jeffery said that he had stored a sample of flaked oats with 10·7 per cent, of moisture in cardboard boxes for about a fortnight, and found that the moisture had increased to 12·3 per cent.
Dr. J. H. Oliver referred to the somewhat bitter flavour of some oats, and it would be of interest to know what it was which caused that bitterness.
Mr. R. T. Storey said that when his first consignment of flaked oats containing 14·2 per cent, of moisture was stacked in a warm malt room the stack had to be pulled down to prevent serious heating.
Mr. R. Freeman said that he had found some delay in final attenuations with 10 per cent, of oats in the grist, and that when used in pale ale the resulting beer lacked the same brilliancy as compared with a normal beer.
Mr. J. G. Wreay said that with regard to filtration in the hop backs the break was normal and the attenuations afterwards were a shade lower than previously.